principal » Cultura y matemáticas » Cine y matemáticas
173. SOLUCIONES DEL XVIII CONCURSO DEL VERANO 2022 |
|
|
| Escrito por Alfonso Jesús Población Sáez | |||||||||||||||||||||||||||||||
| Jueves 08 de Septiembre de 2022 | |||||||||||||||||||||||||||||||
CUESTIONES MATEMÁTICASM – 1.- Existen diferentes estrategias para resolver laberintos de este tipo. Entre todos los concursantes ha habido varias (grafos, ensayo-error, backtracking, etc.). Utilicemos la más difundida a nivel elemental para abordar los laberintos regulares: comenzar desde el final e ir determinando el trayecto desde el inicio (backtracking). Para cada casilla, analizamos desde cuál de alrededor podemos llegar a parar allí. Previamente vamos a definir un sistema de notación y localización. Podríamos utilizar coordenadas después de fijar un origen, pero creo que es más sencillo e inmediato en este caso considerar el cuadro completo como una matriz 5×5 de elementos aij, siendo el primer subíndice, la i, la fila, y el segundo, la j, la columna. De este modo el elemento a11, primera fila primera columna, corresponde al +2. El punto de inicio sería el elemento a53 = +1. Dicho esto, situémonos en la casilla final, a33 = 0. De las casillas que la rodean sólo es válida aquella que tenga un 1, ya que solo podremos alcanzarla después de dar un único paso. Por tanto a ella sólo se puede llegar desde a23 = –1. Y estando en a23, la pregunta es la misma: ¿cómo llegamos allí, desde arriba, abajo, izquierda o derecha? – Desde arriba: imposible, ya que la casilla tiene un 4 (demasiado grande) – Desde abajo: imposible, ya que los pasos a dar son 1 (demasiado pequeño) o 3 (demasiado grande) – Desde la izquierda: imposible, ya que los pasos a dar son en ambos 3 (demasiado grandes). – Desde la derecha: ¡hay un candidato!, a25 = –2, porque al saltar dos casillas a la izquierda desde allí, terminamos en a23. De este modo vamos razonando con esa misma lógica. Si hay más de una posibilidad, podemos hacer dos cosas: o elegir una, o mirar todas ellas. Eligiendo sólo una, resolvemos el laberinto sin tener en cuenta el signo (modalidad sencilla); si examinamos todas, en alguna seguro que aparece la solución de la modalidad experto (teniendo en cuenta el signo y llegar a suma cero). Aunque no se imponían más condiciones, algún participante ha tratado después de dar una solución a cada modalidad, imponerse otros retos, como encontrar soluciones que visiten todas las casillas, o dar recorridos lo más cortos posibles. Agradeciendo y admirando sus iniciativas, la puntuación ha sido la misma para todos: 5 puntos para cada uno de los recorridos válidos, independientemente de su tenacidad, que no obstante elogiamos (y tendremos en cuenta en caso de empate). Exponemos soluciones de cada modalidad (hay más): Recorrido modalidad sencilla (visitando todas las casillas, encontrada por Alejandro Apezteguia Torres): a53 → a52 → a32 → a43 → a55 → a35 → a25 → a14 → a15 → a34 → a54 → a44 → a24 → a45 → a23 → a22 → a12 → a21 → a13 → a11 → a31 → a41 → a42 → a51 → a33 La más corta modalidad sencilla (con dos recorridos simétricos): a53 → a43 → a33 Recorrido modalidad experto: En la que recorre todas las casillas expuesta arriba, la suma es +2. Eliminando una única casilla, la a42 = +2, se tiene suma cero (también de Alejandro): a53 → a52 → a32 → a43 → a55 → a35 → a25 → a14 → a15 → a34 → a54 → a44 → a24 → a45 → a23 → a22 → a12 → a21 → a13 → a11 → a31 → a41 → a51 → a33 El más corto, en sólo seis pasos (de Celso de Frutos): a53 (+1) → a52 (–2) → a41 (–3) → a44 (+2) → a35 (+3) → a23 (–1) → a33 La mejor solución con suma 0 que yo tenía era en 14 pasos: a53 (+1) → a52 (–2) → a32 (–2) → a43 (–2) → a54 (–3) → a51 (+4) → a11 (+2) → a31 (+1) → a41 (–3) → a44 (+2) → a42 (+2) → a22 (+3) → a25 (–2) → a23 (–1) → a33 M – 2 Si denotamos por an la distancia recorrida por la bola en el segundo n-ésimo, del enunciado se tiene que an = 2/3 an–1, para n ≥ 2 y a1 = 10 Esas condiciones nos llevan, sin más que ir calculando los términos, a que an = 10 (2/3)n-1, una progresión geométrica, cuya suma se calcula como S = 10 M – 3 i.- El número 3.816.547.290 tiene la propiedad de que el número formado por los primeros n dígitos es divisible por n, para n = 1, 2, 3, …10. Si los movimientos se llevan a cabo en este orden, entonces el juego puede terminar en empate. ii.- El primer jugador (en este caso Andrew) tiene una estrategia ganadora. Obsérvese que, según las condiciones, Milo debe jugar un dígito par en cada uno de sus movimientos. Por tanto, el objetivo de Andrew es “gastar” tantos números pares como sea posible. Por ejemplo, Andrew puede poner un 6 para empezar. En ese caso, hay tres posibilidades a considerar para el segundo movimiento: (1) Si Milo juega un 4 o un 2, entonces Andrew utiliza el otro en tercer lugar. Milo debe a continuación jugar un número par porque su número ahora tiene que ser divisible por 4, así que, si utiliza el 8, entonces Andrew pone el 0 y Milo pierde porque en el sexto movimiento, tendría que jugar un número par y no queda ninguno. Si Milo jugara un 0, entonces Andrew pone el 5 y Milo también pierde porque ahora debe jugar un número par en el sexto movimiento, y el único que queda es un 8, pero ni 642.058 ni 624.058 son divisibles por 6. (2) Si Milo juega un 0, entonces Andrew usa el 9. Milo debe entonces jugar el 2 para hacer que el número de cuatro dígitos sea divisible por 4. Entonces Andrew coloca el 5. Milo debe emplear el 8 para hacer que su número sea divisible por 6. Y Andrew puede contrarrestar con el 3, ya que 6.092.583 es divisible por 7. El único número par que Milo puede utilizar ahora es el 4, pero 60.925.834 no es divisible por 8, por lo que pierde. (3) Si Milo juega el 8, entonces Andrew pone el 4. La única opción de Milo es entonces el 0. Entonces Andrew echa mano del 5. Y la única opción de Milo sería el 2, pero 684052 no es divisible por 6, por lo que pierde. Téngase en cuenta que esto cubre todos los casos porque Milo debe jugar un dígito par en el segundo movimiento. Por lo tanto, Andrew siempre puede forzar una victoria. Otra estrategia ganadora: Andrew comienza con el 4. Luego, Milo debe colocar un número par. Si responde con un 2 o un 8, entonces el siguiente movimiento de Andrew es un 0. Si la respuesta de Milo fuera un 0 o un 6, entonces el siguiente movimiento de Andrew es un 2. En el caso de que se haya escrito el número 480, Milo no puede encontrar un dígito para hacer un número de cuatro dígitos divisible por 4, por lo que inmediatamente pierde. En los otros tres casos, hay al menos un dígito que Milo puede elegir para permanecer en el juego. Por lo tanto, después de cuatro movimientos, si el juego durara tanto tiempo, uno de los siguientes números estarán en la mesa: 4028, 4208, 4620 o 4628. Entonces Andrew pondría el 5, y en cada uno de esos cuatro casos, será imposible para Milo hacer un movimiento para que el nuevo número de seis dígitos sea divisible por 6, ya que todos los dígitos que necesita se han utilizado. Por lo tanto, si Andrew sigue esta estrategia, puede siempre forzar una victoria. iii.- Aunque describirlo con detalle nos llevaría mucho espacio, en efecto este juego es más justo ya que el segundo jugador no está tan restringido por los movimientos del primero. Hay cuatro números que pueden colocarse en cualquier momento (1, 2, 5, 0) para cualquiera de los jugadores (salvo que el primer jugador no puede empezar con el 0). Además, si los dos últimos números que quedan por poner son el 9 y el 0, ambos pueden colocarse en cualquier orden con finalización exitosa y empate entre los jugadores. Además, hay un movimiento garantizado: colocar el 6 inmediatamente después de haber puesto el 3, ya para ser divisible entre 6, el número lo ha de ser entre 2 (lo es pues 6 es par) y entre 3 (también lo es pues estaríamos sumando un 6, que es un múltiplo de 3 a otro número que ya era múltiplo de 3). No parece haber estrategia ganadora para ninguno. Alejandro Azpeteguia indica una estrategia “empatadora” para cualquier jugador. Eso convierte este juego en más justo, pero sin interés, si ambos conocen dicha estrategia, obviamente. Debo indicar que esta cuestión fue inventada y por tanto abierta, siendo su orden de complejidad bastante alto por el número enorme de posibilidades (como pasa con estas cosas). Celebro que la mayor parte de los participantes sin embargo, hayan pensado en ella deportivamente, y hayan llegado a mi misma conclusión. M – 4 Es claro que las velocidades de las agujas de las horas y del minutero son diferentes. La primera tarda 12 horas en recorrer toda la esfera, por lo que su velocidad (espacio/tiempo) es
La aguja del minutero sin embargo recorre toda la esfera (o sea el espacio 2πt) en una sola hora, por lo que su velocidad es asimismo 2πt. Queremos saber cuándo están ambas agujas formando 90º (un ángulo recto; en radianes π/2) y eso sucede un número impar de veces (porque en un número par la diferencia es π). Por tanto, deseamos conocer los valores de t para los que 2πt – Simplificando nos queda que t = Dando valores a n, se comprueba que para n = 22, obtenemos un valor que supera 12 (concretamente, 135/11 ≈ 12.272727…), por lo que en una vuelta completa de la aguja de los minutos (12 horas) hay 22 veces en las que se forma un ángulo recto. Al cabo del día, por tanto, que era la pregunta, hay 44 veces en las que las agujas forman un ángulo recto. Calculamos esos 22 valores de una vuelta completa para n entre 0 y 21:
Para obtener a qué horas corresponden exactamente, basta con tomar la parte entera como la hora, e ir multiplicando la parte decimal por 60 para saber los minutos (y por 3600 si quisiéramos los segundos. Por ejemplo,
0.272727 x 60 = 16.363636…. 0.363636 x 60 = 21.818181… Luego serían las 0 horas 16 minutos 21 segundos. Haciendo lo mismo con las demás, tenemos que todas las horas en las que las manecillas forman un ángulo recto son:
Obsérvese la simetría existente en los minutos y los segundos antes y después de las 6 horas (la mitad del recorrido de la aguja de las horas). Se han señalado en rojo las dos posibilidades existentes entre las 7 y las 8 tal y como se pedía en el enunciado. M – 5 Supongamos que tenemos N cuadrados de cada tipo embaldosando un cuadrado de lado S (en cm2). Entonces,
S2 = N × 1 + N × 4 = 5N El S más pequeño que satisface esta ecuación es 5, lo que implica N = 5. Sin embargo, no hay una disposición posible de los mosaicos que satisfaga esto, como se puede ver en la figura, El siguiente S posible que satisface la ecuación es 10, lo que implica N = 20. Un posible mosaico se muestra a la derecha. Por tanto, el cuadrado más pequeño que se puede formar con números iguales de cada tipo de baldosas tiene una longitud de lado de 10 cm. M – 6 Si contamos el número de triángulos pequeños de que está compuesto el hexágono, comprobamos que son 96. Sea el área de cada uno de esos triángulos igual a 1. Llamaremos s al lado de cada pequeño triángulo equilátero. Entonces
(no hay más que calcular la altura de cada triángulo equilátero mediante el teorema de Pitágoras, s √3/2, y después utilizar la expresión del área del triángulo).
Sea d la longitud del lado de la esmeralda (triángulo equilátero de color verde), cuya superficie queremos calcular. En la imagen se ha representado un triángulo de color rojo, de lados d, 5s y 2s, con un ángulo de 120º opuesto a d. Por el teorema del coseno obtenemos que d2 = (2s)2 + (5s)2 – 2 (2s)(5s) cos 120º = 4s2 + 25s2 + 10s2 = 39s2. Entonces el área de la esmeralda (triángulo equilátero verde) es
M – 7 A primera vista, parece que el segundo lanzamiento es irrelevante: como nuestra habilidad es constante, el segundo lanzamiento no influye de ninguna manera en el tercer lanzamiento. Además, da la impresión de que esta pregunta solo puede responderse en términos de la distancia desde el centro al lugar donde cayó el primer lanzamiento. Si denotamos esa distancia por d, y suponemos que el área del tablero de dardos es 1, la probabilidad de que el tercer lanzamiento sea más lejano que el primero aparentemente sería el área del anillo, dada por 1− π d2. Pero esta aproximación se puede mejorar. Sin embargo, podemos razonar de otro modo. Llamemos di a la distancia del i-ésimo lanzamiento al centro. Los posibles resultados, asumiendo que el segundo lanzamiento es más lejano que el primero, son:
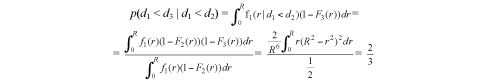
Y los que satisfacen la pregunta que se hace son sólo los dos últimos, de modo que la probabilidad buscada sería 2/3. Otro modo de razonar, más “elaborado”. Sean f1(r), f2(r), f3(r) las funciones de densidad de probabilidad de la distancia desde el centro de los tres dardos, respectivamente, y F1(r), F2(r), F3(r) sus funciones de distribución acumulativa. (Estos, por supuesto, serán iguales porque suponemos que los dardos son idénticos, están por tanto idénticamente distribuidos). f1(r) = f2(r) = f3(r) = 2r/R2 F1(r) = F2(r) = F3(r) = r2/R2
p(d1 < d2) =
M – 8 El primer jugador tiene una estrategia ganadora. Su primer movimiento es colocar una moneda en el centro de la mesa. A partir de ahí, lo único que debe hacer es ir poniendo monedas en una posición simétrica respecto al centro a las que ponga el segundo jugador. Este argumento sirve igualmente para cualquier mesa que tenga simetría central, obviamente. M – 9 La solución al crucigrama se muestra al final de la página. Está compuesto por 84 palabras. Quien haya resuelto al menos 42 tiene 5 puntos. Hasta 52, 6 puntos; Hasta 62, 7 puntos; Hasta 72, 8 puntos; Hasta 80, 9 puntos; y entre 81 y 84, 10 puntos.
M – 10 Aunque lo suyo sería que se pudieran obtener las fechas de ambas películas únicamente con los datos del enunciado, lo cierto es que debe utilizarse información de apartados anteriores; incluso les habrá sucedido a muchos participantes que ya conocieran de qué películas se trataba antes de afrontar esta cuestión, con lo que simplemente les servirá para confirmar sus sospechas. No obstante, veamos que podemos inferir exclusivamente del enunciado de esta cuestión. Sólo se ha valorado con 10 puntos (o una cantidad proporcional) aquellas respuestas con algún razonamiento matemático que ayude a determinar el año. Quienes simplemente hayan puesto el año, sin mayor explicación, la puntuación que se ha dado ha sido 4. Desde luego, el dato más objetivo es el de que el año actual es el 2022. Veamos en que columna estaría colocado. De acuerdo con la disposición en columnas de los números son claras las congruencias dispuestas al pie de cada columna
Como 2022 ≡ 6 mod 8, se halla en la columna E. Además, nos dicen que el año de la segunda versión es dentro del siglo XXI (por tanto del 2001 en adelante), que comparte la misma columna que la diferencia entre el año actual con ese año, y que además es un múltiplo de cinco. Eso nos lleva a los años Año: 2017 2012 2007 2002 Diferencia 5 10 15 20 Sólo se encuentran en la misma columna de la tabla 2017 y 5 (columna D) y 2007 y 15 (columna D). Sea la que sea, están en la columna D, por lo que el año de la primera versión, y la diferencia entre 2022 y ese año, no se encuentran en las columnas D ni E (porque dicen que están en columnas diferentes todas salvo la del año del remake y la de diferencia de ésta con el año actual).
Entre las imágenes de la película, vemos al guitarrista troglodita con una guitarra eléctrica. Este instrumento data de 1920, pero el modelo de la estatua es como poco de mediados de los años sesenta del siglo pasado, pongamos de 1965 (¡¡gran año!!) en adelante. Otra de las imágenes, la del retrato, corresponde a la actriz Joanne Woodward (véase pregunta C – 7), que nació en 1930, si bien su primer trabajo en el cine es en 1955 (en televisión comenzó en 1952). En el retrato, no obstante, tiene un aspecto que desde luego es posterior a ese 1965 que hemos fijado como extremo del intervalo donde asignar el año de la primera versión. Y es claramente inferior a 1980 si observamos alguna foto de la actriz en ese año, como la de la imagen de la derecha del telefilme La caja oscura (The Shadow Box, Paul Newman, EE. UU., 1980). Eso nos deja como posibles años únicamente 1968, 1969, 1970, 1971, 1972, 1976, 1977, 1978, 1979 y 1980 (ninguno en columnas D o E). Sin embargo, como la diferencia de años con el actual debe ser un múltiplo de 5, en realidad sólo quedan 1972 y 1977 (con 50 y 45 años de diferencia, respectivamente). Pero 45 ≡ 5 mod 8, lo que sitúa este valor en la columna D, por lo que no sirve. La película se estrena por tanto en 1972 (que estaría en la columna C), hace 50 años (columna A).
M – 11 Buscando películas rodadas aquel año (1972) que hayan tenido una nueva versión, llegamos con poco esfuerzo a La huella (Sleuth, Joseph L. Mankiewicz, Reino Unido, 1972) y La huella (Sleuth, Kenneth Branagh, EE. UU., 2007). CUESTIONES CULTURALESAlgunas tienen pregunta múltiple. Cuando he utilizado alguna baremación para repartir la puntuación, lo indico en color azul oscuro. C – 1
La solución aparece en la imagen adjunta. C – 2 Se pedían tres laberintos reales, y se indicaba que se valorarían aspectos como estar cercano al de la película, estar en España y antigüedad. Lo ideal por tanto es poner uno de cada. Pero quien haya dado tres que cumplan todo a la vez, también es correcto. Los participantes han recopilado un montón de laberintos, con imágenes sugestivas de cada uno. No voy a enumerarlos todos, sino que voy a indicar, uno de cada una de las características pedidas. Más cercano al lugar de rodaje: Laberinto de Longleat Hedge Maze, en Warminster, Inglaterra. Los exteriores y la casa de la película son visitables y se llama Athelhampton House, construida en 1485, en Dorset, Inglaterra. En España (pongo varios): Jardines del Palacio Real de La Granja de San Ildefondo (Segovia, sobre 1730), El Capricho (Madrid, 1784), Laberinto de Horta (Barcelona, 1808); Laberinto de Villapresente (Cantabria, 2007), Más antiguo: Il Labirinto, Villa Pisani, Venecia (Italia, 1720). Esta página puede resultaros curiosa: https://www.elle.com/es/living/viajes/news/g795538/los-10-laberintos-mas-impresionantes-del-mundo/ C – 3 Es tal la cantidad de objetos que aparecen en la película que hacer una lista de todos los juegos es complicado. Con dar media docena de ellos, he considerado la cuestión resuelta. Los que yo he visto son: laberinto, ajedrez, senet, puzzle, billar, ruleta, diana y dardos, crucigrama, croquet, backgammon, adivinanzas, … Casi todos los concursantes han incluido también los juguetes que aparecen. Estrictamente no son juegos, pero también se han dado por válidos (son juegos para Andrew Wyke). C – 4
La estatua del guitarrista troglodita aparece en la discoteca de la película Play It Cool! (Michael Winner, Reino Unido, 1962), también aparece en una escena de discoteca en Band of Thieves (Peter Bezencenet, Reino Unido, 1962); en el bar de Rudi en el episodio 6 de la primera temporada de la serie de televisión británica The Human Jungle (1963) titulado A Friend of the Sergeant Major emitido el 4 de mayo de 1963; y en la nuestra, en el laberinto de la casa de Laurence Olivier en La huella (Sleuth, Joseph L. Mankiewicz, Reino Unido, 1972). En la primera de esas películas, se pretendía lanzar un emulo de Elvis Presley en el Reino Unido, el cantante Billy Fury (1940 – 1983). Allí tuvo cierto éxito (igualó el récord de 24 éxitos de los Beatles en la década de 1960, y estuvo 332 semanas en las listas de éxitos del Reino Unido; sólo fue superado por los Beatles, Cliff Richard y Elvis Presley), pero nunca alcanzó un número uno. En España no es demasiado conocido, y esa película nunca se ha estrenado. La actualidad a que se aludía en el enunciado de la cuestión es el reciente estreno de la película Elvis (Baz Luhrmann, EE. UU., 2022).
C – 5.- Se comenta que el padre de Milo Tindle (Michael Caine) fue relojero. Además, hacia el final del primer acto, Andrew Wyke (Laurence Olivier) atormenta a Milo con el tiempo que le queda de vida, lo que reproducirá en el tercer acto Milo con él, con el tiempo que le queda para encontrar unos objetos que lo incriminan antes de que llegue la policía. Aparecen también relojes en las muñecas de los protagonistas (marcando su estilo la diferencia de clase social), y por supuesto el reloj de péndulo de la escalera en el que se esconde una de las pruebas incriminatorias, además de ser enfocado numerosas veces a lo largo de la película. C – 6.- Andrew Wyke es escritor de novelas de crímenes y detectives. El busto sobre la repisa de la chimenea de la imagen corresponde al premio Edgar Allan Poe que ganó el autor de la obra teatral, Anthony Shaffer, precisamente por esta obra, Sleuth. Pero lo hizo en 1971, que no se corresponde con ese 1946 de la imagen. El director de la película, Joseph L. Mankiewicz también ganó un Edgar Allan Poe por Operación Cicerón (Five Fingers, EE. UU.,1952). Otros detectives literarios mencionados o referenciados en la película son Lord Peter Whimsey (de la escritora británica Dorothy Leigh Sayers; de hecho, el detective al que Wyke alude en la película como su creación, St. John Lord Merridew, es claramente un homenaje Whimsey, que utiliza monóculos en sus pesquisas); el detective Nero Wolfe (del escritor norteamericano Rex Stout; es un gran amante de las orquídeas, referencia que aparece también en la película); por supuesto Sherlock Holmes (del británico Arthur Conan Doyle; destaca por su inteligencia, su hábil uso de la observación y el razonamiento deductivo, y conocemos muchas de sus aficiones que aparecen de algún u otro modo en la película: es muy habilidoso disfrazándose, fuma en pipa, le gustan las galletas, toca el violín con maestría (un Stradivarius, a menudo a horas poco adecuadas), es un experto apicultor, excelente boxeador, tiene un gran conocimiento científico, en especial en química, y, cuando se aburre por falta de los retos intelectuales que suponen sus casos, consume cocaína en una solución al siete por ciento. Además, viste una gorra típica de las cacerías que también está en la película); el padre Brown (creado por el novelista inglés G. K. Chesterton, es el contrapunto a Sherlock Holmes, ya que resuelve sus casos por intuición y conocimiento de la naturaleza humana más que de la ciencia; su característico sombrero de pala también está presente en la película). Y por supuesto encontramos entre las fotografías de la pared a Agatha Christie, creadora de Hercules Poirot y la Srta. Marple. Y finalmente, se menciona o referencia un par de veces al malvado Fu Manchú, creado por el escritor Sax Rohmer, cuyos malvados planes siempre son desbaratados por Sir Denis Nayland Smith, junto a su acompañante, el doctor Petrie. Indicar el oficio del protagonista: 5 puntos. Los otros cinco autores y sus creaciones: 5 puntos (uno por cabeza).
C – 7.- Es un retrato de la actriz norteamericana Joanne Woodward, que interpreta sin aparecer físicamente a la esposa de Andrew y amante de Milo, Marguerite Wyke. Joanne fue una de las actrices que hicieron una prueba para encarnar a Cleopatra en la película homónima de J. L. Mankiewicz (junto a Joan Collins y otras actrices), antes de que finalmente se lo adjudicaran a Elizabeth Taylor. Es la única relación que he encontrado acerca de la utilización de esta actriz para esta película. Además del retrato, aparece en una fotografía junto a Laurence Olivier en otro trabajo que hicieron juntos, justamente la foto a la que Andrew hace un agujero con su revólver. Sobre la presencia del retrato de Joanne Woodward, algunos participantes indican otras posibilidades: ganó el Óscar a la mejor actriz en 1957 por Las tres caras de Eva. En esa película interpreta un personaje que posee personalidad múltiple (hasta 3 diferentes), muy en la línea de engaños y falsos personajes de La huella. Recordemos además que Mankiewicz fue el director de Eva al desnudo. Además siendo niña, acudió a la premiere de Lo que el viento se llevó (1939) en Atlanta, y logró sentarse en el regazo de Laurence Olivier (quien tenía entonces 32 años), que era entonces el compañero sentimental de Vivien Leigh. Otro concursante nos dice que en la biografía del director Mankiewicz, Pictures Will Talk, se indica que esta presencia no es sino una broma (una más de la película) entre él y sus amigos Joanne Woodward y Paul Newman (ya saben, pareja en la vida real). Se proponen cuatro cuestiones: 2.5 por cada una resuelta. C – 8 En los títulos de crédito aparecen los nombres de seis actores, pero la película sólo tiene dos. Los otros no existen (el del detective, Alec Cawthorne, es casi un anagrama de «O Michael Caine»: se invierte la «W» en Cawthorne para obtener la «M» en Michael, y se separan las líneas horizontales y verticales en la letra «T» para obtener las dos «I» necesarias). En 1993, Mankiewicz afirmó en una entrevista que los cuatro restantes eran nombres reales de parientes de su esposa, aunque Eve Channing es claramente una mezcla entre Eve Harrington y Margo Channing, nombres de dos de las protagonistas de Eva al desnudo. Los concursantes han aportado un buen número de películas con uno o dos personajes solamente. En algunas, aunque el peso de toda la película sea sólo de uno o dos, si aparecen más personas, aunque sean de fondo, no se han considerado. He aquí una selección:: Locke (Locke, Steven Knight, Reino Unido/EE. UU., 2013). Un único actor, Tom Hardy, y voces de otros. La Venus de las pieles (La Vénus à la fourrure, Roman Polanski, Francia, 2013). Dos actores solamente, Mathieu Amalric y Emmanuelle Seigner. Gravity (Gravity, Alfonso Cuarón, Reino Unido/EE. UU., 2013). Sólo Sandra Bullock y George Clooney, con voces de otros. Buried (Rodrigo Cortés, España, 2010). Un único actor, Ryan Reynolds, y voces de otros. Vida/perra (Javier Aguirre, España, 1982). Una única actriz, Esperanza Roy Give ‘em Hell, Harry! (Steve Binder y Peter H. Hunt, EE. UU., 1975), con James Whitmore como único actor. Infierno en el Pacífico (Hell in the Pacific, John Boorman, EE. UU., 1968). Sólo dos actores, Lee Marvin y Toshirô Mifune. C – 9 Nos referiremos a la primera versión como v1, y a la segunda como v2. Diferencias: 1.- En v1 Milo es propietario de una cadena de salones de belleza, mientras que en v2 es un joven escritor en paro. 2.- En v1 hay diálogos cargados de ironía y sutilidad mientras que en v2 hablan a gritos, insultando y diciendo palabrotas. 3.- En v1 el interior de la casa está decorada con numerosos muñecos, juegos, objetos singulares, muy recargada, mientras que en v2 es todo minimalista y con muchos aparatos tecnológicos. 4.- La duración del metraje de v2 es sensiblemente inferior a la de v1 (50 minutos menos). 5.- En v1 el autor de la obra de teatro, Anthony Shaffer, es quien hace el guion, mientras que en v2, lo hace Harold Pinter, premio nobel de literatura. 6.- En la escena inicial de v1, Milo aparca su coche en solitario, mientras que en v2 lo aparca junto al de Andrew, pudiéndose así apreciar la diferencia de tamaños entre estos, indicador claro del nivel económico de cada uno. 7.- La realización cinematográfica de v1 es más clásica, mientras que en v2 hay una amplia gama de planos. 8.- En v2, las alusiones a la homosexualidad son mucho más explícitas que en v1. 9.- En v1 aparecen en los títulos de crédito actores inexistentes, mientras que en v2 aparecen personajes que no están en los títulos de crédito (salen por televisión). 10.- El sentido del juego y el desenlace son diferentes. 11.- Milo es invitado a la casa en v1, mientras que en v2 aparece por su cuenta. 12.- El carácter de Milo en v1 es respetuoso inicialmente e incluso con cierto complejo de inferioridad, mientras que en v2 es muy agresivo y muy seguro de si mismo. Andrew en v2 es también más perverso. Semejanzas 1.- Michael Caine protagoniza ambas, aunque con diferentes papeles: en la v1 es Milo Tindle, mientras que en la v2 es Andrew Wyke.
C – 10 En la versión original de la película en inglés, Andrew indica a Milo (minuto 41, aproximadamente), “If you’ll be good enough to follow me, Miss Rebecca”. En la versión española dice “Si es usted tan amable de seguirme, mi querido amigo”. Además en la versión original, Laurence Olivier imita la forma de hablar de la señorita Danvers, personaje de Rebeca (Rebecca, Alfred Hitchcock, EE. UU., 1940), en la que Olivier encarna al marido de la difunta Rebeca. Es claramente, como sucede en toda la película, un nuevo guiño al espectador. En cuanto al actor que rechazó interpretar a Milo (algún concursante ha pensado que la pregunta era sobre Rebeca) fue Alan Bates, que tras los primeros ensayos manifestó que el papel no estaba a su altura. Albert Finney fue descartado previamente por ser un poco regordete. Michael Caine fue la tercera opción.
C – 11 Me alegra que la película haya gustado a todos los participantes (menos el remake, que tiene sus virtudes, pero claramente muy por debajo de la original). No es una película sencilla de ver para el público actual, en el que tanto diálogo (junto a las reflexiones que conlleva) puede resultarles agotador (a eso se ha mal acostumbrado a la gente: lo vemos diariamente en entrevistas o debates, en las que enseguida se corta al orador; por supuesto eso conlleva un deficiente estudio de nada. El síndrome Twitter, lo podemos llamar).
PUNTUACIONES FINALESComo cada año, el nivel mostrado por todos los participantes ha sido más que sobresaliente. Las diferencias son mínimas y normalmente por cuestiones de detalle. Recordemos que la puntuación máxima que se podía obtener en esta ocasión era de 220 puntos (110 las cuestiones matemáticas, en rojo; y 110 las de tipo cultural, en azul). Así ha quedado al final: 1.- Alejandro Apezteguia Torres 212 (107 + 105) 2.- Francisco Pi Martínez 205 (101 + 104) 3.- Equipo formado por Engracia, María y Javier 205 (96 + 109) 4.- Paz Jiménez Seral 177 (97 + 80) 5.- Celso de Frutos de Nicolás 175 (96 + 79) 6.- Alba Diez Mariño 153 (51 + 102) En el caso del segundo y tercer puesto, he terminado por ponerlos en ese orden primando las preguntas de tipo matemático. Aunque leer y valorar todos los documentos recibidos lleva un tiempo no despreciable, debo agradecer a los participantes su excelente trabajo del que no dejo de aprender cada año (hay razonamientos y resoluciones realmente magníficas), y me he divertido enormemente con sus comentarios tanto sobre las cuestiones matemáticas como las culturales y de cine. Y celebro especialmente que haya habido tantas mujeres como hombres involucradas en el concurso. Ojalá sea la tendencia futura en todo. Espero que todos hayan pasado de verdad un buen rato. En breve recibiréis un mail, algunos para pediros una dirección postal a la que enviaros un pequeño obsequio de DivulgaMAT (ignoro a fecha de hoy el número de obsequios de los que dispone la organización), y a todos para detallaros las puntuaciones de cada cuestión, una vez hayáis leído las soluciones. ¡¡Enhorabuena a todos!! |
|||||||||||||||||||||||||||||||

173. SOLUCIONES DEL XVIII CONCURSO DEL VERANO 2022


ya que cualquier ficha 2 x 2 colocada en el cuadrado, taparía alguno de los cuadrados coloreados en gris. Por tanto, no se pueden poner fichas 2 x 2 en un cuadrado 5 x 5.





